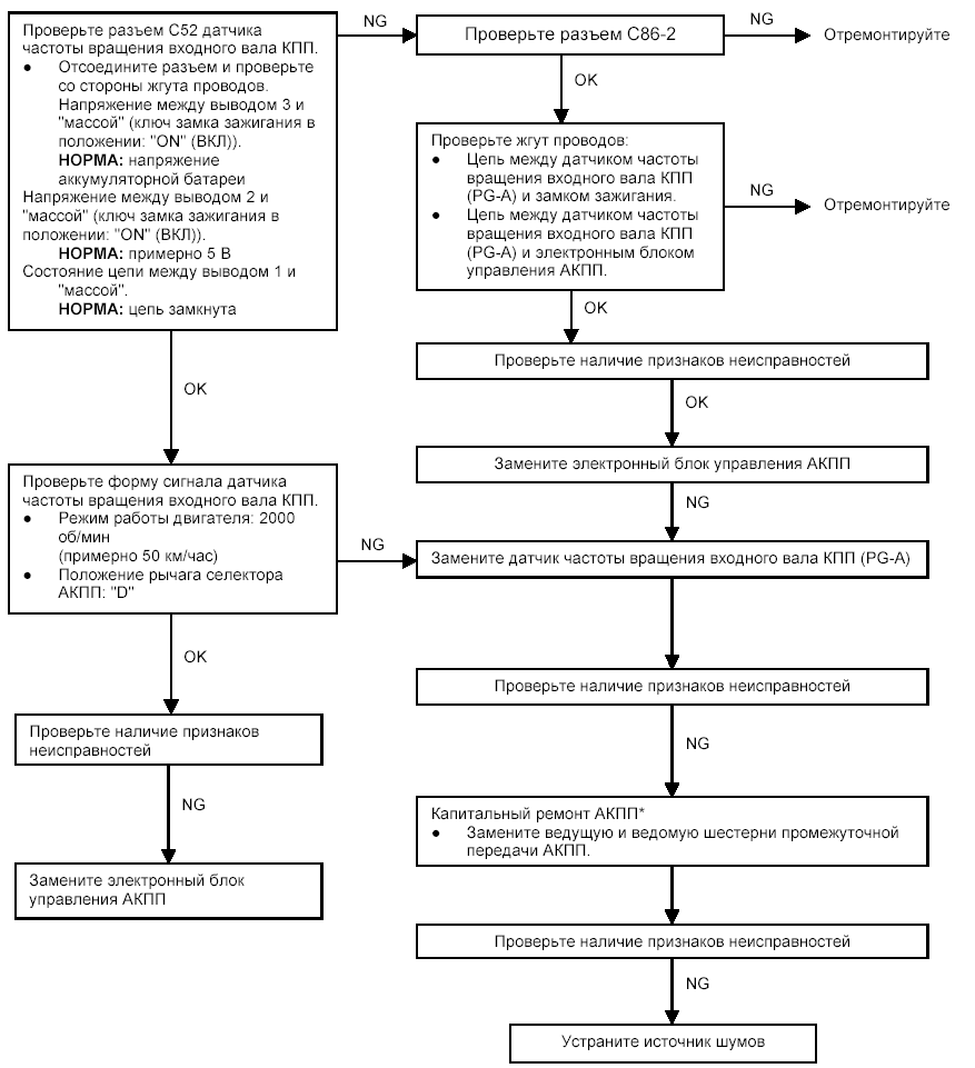
Hyundai Elantra: Процедуры проверки по диагностическим кодам неисправностей - Код Р0715
| Код Р0715: датчик частоты вращения входного вала КПП (генератор импульсов А) | Вероятная причина |
| Если при движении со скоростью 30 км/час или более на 3-ей или 4-ой передаче в течение 1 секунды или дольше отсутствуют выходные импульсы датчика частоты вращения входного вала КПП, то, считается, что произошло короткое замыкание или обрыв в цепи датчика, и в память электронного блока управления АКПП записывается код неисправности Р0715. Если данный код неисправности возникает 4 раза, то коробка передач переходит в аварийный режим работы (переключение передач заблокировано) и фиксируется на 3-ей передаче или на 2-ой передаче. | Неисправность датчика частоты вращения входного вала КПП Неисправность барабана муфты понижающей передачи Неисправность (плохой контакт) в разъеме Неисправность электронного блока управления АКПП |

Процедуры проверки по диагностическим кодам неисправностей - Код Р0725
Код Р0725: датчик положения коленчатого вала и его цепи
Вероятная причина
Если при движении со скоростью 25 км/час или более в течение
5 секунд отсутствуют импульсы выходного на ...
Процедуры проверки по диагностическим кодам неисправностей - Код Р0720
Код Р0720: датчик частоты вращения выходного вала КПП (генератор
импульсов В) и его цепи
Вероятная причина
Если показания датчика частоты вращения выходного вала КПП
на 50% ...
Другое на сайте:
Прикуриватель и пепельница
Для включения нажмите на кнопку прикуривателя. При достаточном нагреве кнопка
автоматически «отщелкивается».
На неработающем двигателе ключ зажигания должен находиться в положении АСС.
Запрещает ...
Разборка и сборка узла поршня и шатуна (снятие и установка поршневого
пальца)
1. С помощью специальных инструментов (09234-33001 и 09234-33002) выполните разборку
и сборку узла поршня и шатуна.
2. Поршневой палец запрессован в верхнюю головку шатуна, и поршень скользит по ...
Встроенный индикатор предельного износа протектора
ИНДИКАТОР ПРЕДЕЛЬНОГО ИЗНОСА ПРОТЕКТОРА
Регулярно проверяйте глубину протекторов шин при помощи встроенных индикаторов
предельного износа протектора шины.
Местоположение индикаторов предельного ...
