Hyundai Elantra: Поиск неисправностей по диагностическим кодам - код неисправности P0506/P0507

ПРИНЦИП РАБОТЫ И НАЗНАЧЕНИЕ
Сервопривод регулятора оборотов холостого хода (ISA) представляет собой электродвигатель с двумя обмотками, которые включаются отдельными управляющими цепями электронного блока управления двигателем. В зависимости от коэффициента заполнения периода импульса (pulse duty factor) разность магнитных сил двух обмоток будет воздействовать в различных направлениях на магнитные силы обоих обмоток, что приведет к изменению положения сервопривода (и соответственно проходного сечения байпасного канала). Байпасный канал расположен в корпусе дроссельной заслонки параллельно каналу дроссельной заслонки в месте, где установлен сервопривод регулятора оборотов холостого хода.
УСЛОВИЯ РЕГИСТРАЦИИ НЕИСПРАВНОСТИ
Электронный блок управления двигателем запишет код неисправности P0506 или P0507 и загорится контрольная лампа неисправности двигателя, если в течение двух циклов движения автомобиля за период 15 секунд величина сигнала в цепи управления сервоприводом регулятора оборотов холостого хода (ISA) и частота вращения коленчатого вала двигателя не соответствуют данным, хранящимся в памяти электронного блока управления двигателем (ECM), когда выполнены следующие условия:
1. Расход воздуха через байпасный канал сервопривода регулятора оборотов холостого хода выше 4,1 г/сек [для кода P0506] или ниже 1,7 г/сек [для кода P0507].
2. Отличие частоты вращения коленчатого вала двигателя от ожидаемой величины меньше 200 об/мин.
3. Скорость автомобиля равна 0 км/час.
4. Температура охлаждающей жидкости двигателя выше 75°С.
Данный код показывает, что положение сервопривода регулятора оборотов холостого хода и режим работы двигателя не соответствуют данным электронного блока управления двигателем (ECM) о величине оборотов холостого хода.
ЭЛЕКТРОСХЕМА
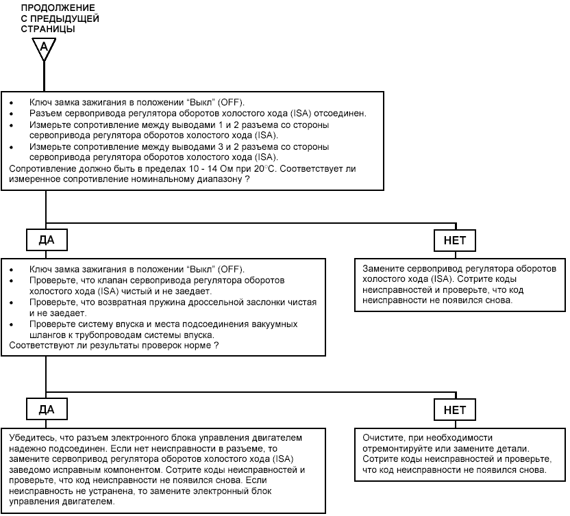
ПРОЦЕДУРА ПРОВЕРКИ
ПРОЦЕДУРА ПРОВЕРКИ
Поиск неисправностей по диагностическим кодам - код неисправности P0501
ПРИНЦИП РАБОТЫ И НАЗНАЧЕНИЕ
Для модели с двигателем [1.8/2.0L I4] датчик скорости автомобиля представляет
собой датчик частоты вращения колеса, который установлен около диска колеса. Датчик
пр ...
Поиск неисправностей по диагностическим кодам - код неисправности P1123 /P1124
/P1127 /P1128
ПРИНЦИП РАБОТЫ И НАЗНАЧЕНИЕ
Система управления составом воздушно-топливной смеси в дополнение к различным
датчикам включает в себя следующие компоненты и системы:
• Система впуска.
• Система в ...
Другое на сайте:
Каталитический конвертер
Для снижения выбросов в атмосферу углеводородов, угарного газа и окислов азота
все автомобили, рассматриваемые в руководстве, оборудуются конвертером с однослойным
катализатором, обеспечивающим за ...
Буксировка прицепа - важная информация
ТОРМОЗНЫЕ МЕХАНИЗМЫ ПРИЦЕПА
При использовании тормозов фургона/ прицепа
необходимо соблюдать все инструкции, предусмотренные его изготовителем. Запрещается
внесение изменений в тормозную систему ...
Складывание спинок сидений
заднeeго ряда
Спинка заднeeго сиденья состоит из
двух секций. Каждая из этих секций
может быть сложена независимо
друг от друга.
Нажмите на кнопку фиксатора
и сложите подголовники.
Откиньте подлокотник за ...
